一般的二阶厄密矩阵能被对角化吗?怎么求二能级系统的能量本征态与能量本征值?5月28日12时,《张朝阳的物理课》第一百四十六期开播,搜狐创始人、董事局主席兼CEO、物理学博士张朝阳坐镇搜狐视频直播间,先简短地给网友们复习了上一次直播课的内容,然后从自旋子系统推广到了一般的二能级系统,并将一般的二维哈密顿矩阵参数化成与自旋算符有关的形式,最后借助任意方向的自旋本征态及本征值成功得到了哈密顿算符的本征态与本征值。
在能量本征态下分析二能级系统的哈密顿算符
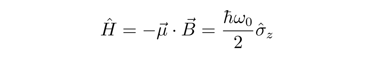
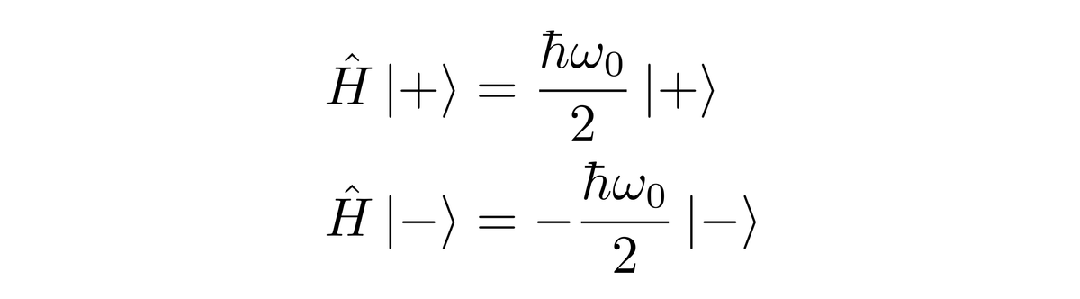
在上一次物理直播课中,张朝阳介绍了自旋在磁场中的演化。当磁场指向z轴正方向时,哈密顿算符可以写为
其中ω0是与拉莫尔进动有关的角频率,具体定义可参考上一次直播课,算符σ_z正比于自旋算符的z分量Sz,它在|±〉为基矢的情况下的矩阵形式就是z方向的泡利矩阵。此时的能量本征态为|±〉,满足
容易知道[H,σ_z]=0,所以哈密顿算符与σ_z具有共同本征态,哈密顿算符在基矢|±〉下是对角化的。
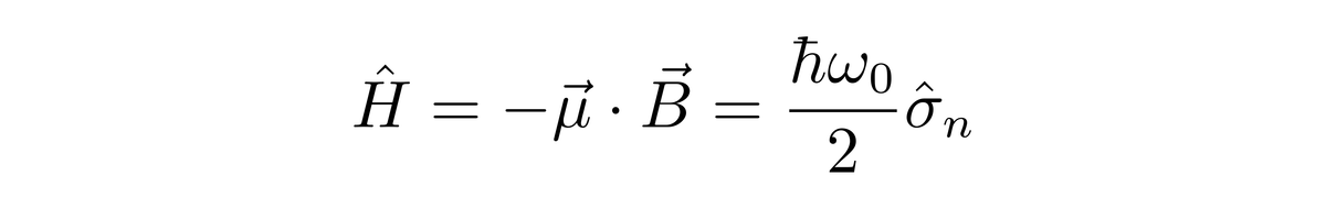
如果磁场不是指向z方向的,而是指向任意方向,方向向量由n表示:
其中 i、j、k是三维位置空间中直角坐标系的三个基矢,(θ,ϕ)是球坐标系的角坐标。此时的哈密顿算符为
其中算符σ_n基矢|±〉下的矩阵形式为
此时[H,σ_z]≠0,所以H在基矢|±〉下不是对角化的。不过由于在之前的物理课中已经求解了σ_n的本征态,由此容易得到哈密顿算符的本征态表达式。
复习完这些知识,张朝阳介绍起二能级系统来。前面介绍的自旋子系统就是一个二能级系统,在其上,哈密顿算符可以表示成二阶厄密矩阵,哈密顿算符只有两个本征态及对应的两个本征值。
除了自旋系统,很多自然界真实存在的系统在只考虑其中两个能级的演化时都可以看作是二能级系统,比如在系统能量只够原子在邻近的两个能级之间演化时,此原子就可以简化成一个二能级系统。
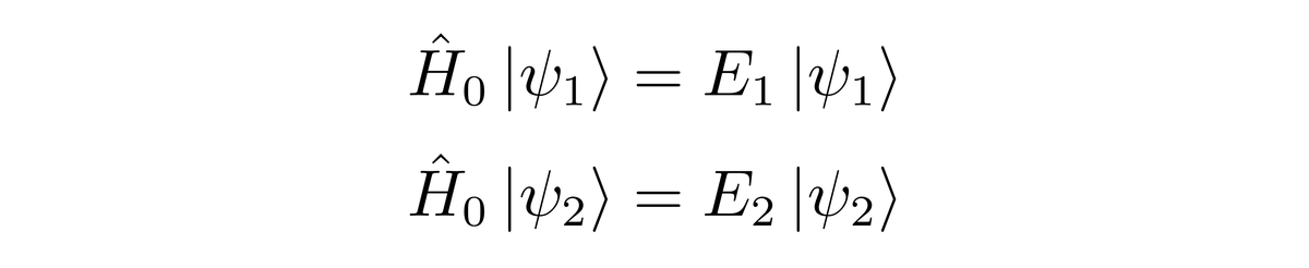
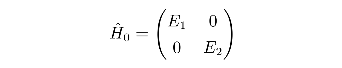
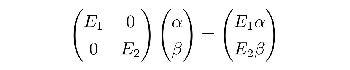
张朝阳先考虑了一个一般的二能级系统,设其哈密顿算符为H0,它具有两个能量本征态,分别为|ψ1〉与|ψ2〉,对应的能量为E1与E2,因此有
可见,在|ψ1〉与|ψ2〉的表象下(也就是在|ψ1〉与|ψ2〉作为基矢的情况下)有
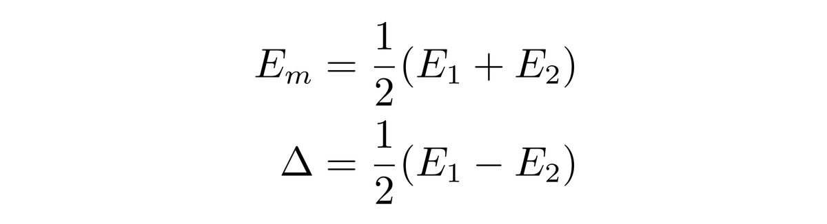
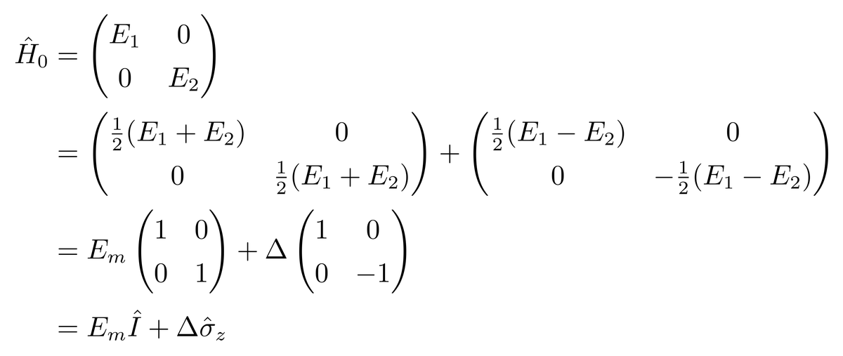
那么哈密顿算符的矩阵形式可以改写为
其中I是单位矩阵对应的算符,也就是恒等算符。可见,在能量本征态作为基矢的情况下,哈密顿算符可以写成单位矩阵与z方向的泡利矩阵的线性组合。
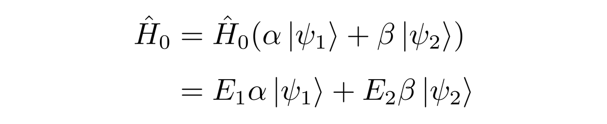
哈密顿算符H0对一般的态的作用为
写成矩阵形式就是
如果使用哈密顿算符关于单位矩阵与σ_z的线性组合形式的话,上式可以改写为
从上面两式可以得到
当然,这个关系也可以从Em与∆的定义反推出来。
(张朝阳介绍在能量本征态作为基矢时哈密顿算符的矩阵形式)
考虑扰动项 求解能量本征态
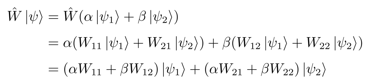
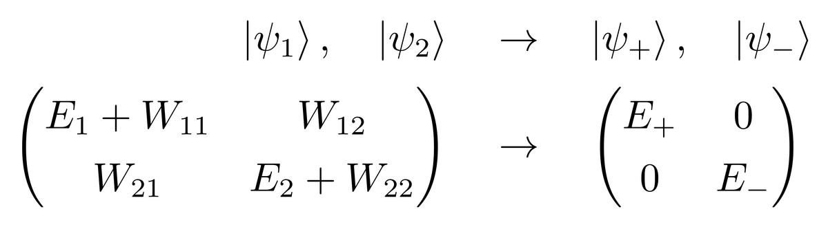
介绍完在能量本征态作为基矢的情况下哈密顿算符的表示,张朝阳开始介绍更一般的情况。为此,张朝阳假设系统在H0的基础上存在一个扰动项W,总的哈密顿算符为H=H0+W。使用前面的符号约定,|ψ1〉与|ψ2〉是H0的本征态,但是它们不一定是H的本征态。如果要解决整个体系的态的演化问题,就需要求解出H的本征态来。
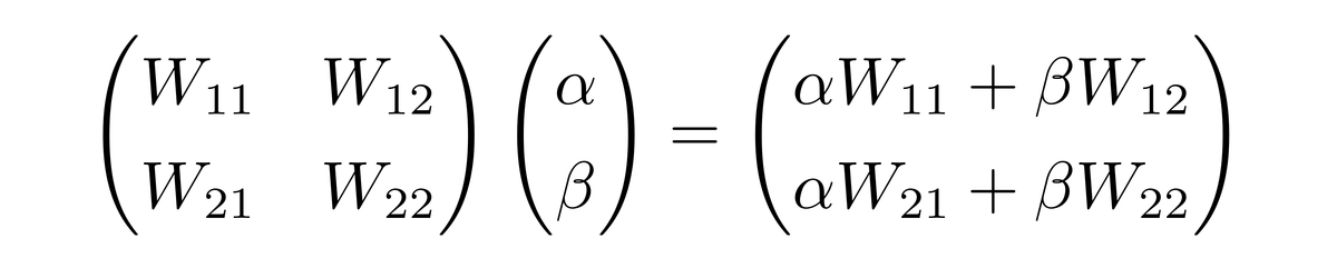
由于|ψ1〉与|ψ2〉被假设成已知的,因此可以使用它们作为基矢。H0的矩阵形式在前面介绍了,现在还需要知道W的矩阵形式。由于目前的系统的态空间是二维的,所以W|ψ1〉可以表示成|ψ1〉与|ψ2〉的线性组合,W|ψ2〉也可以表示成|ψ1〉与|ψ2〉的线性组合,所以有
其中各个W_{ij} (i,j=1,2)是线性组合的系数。因此,对于一般的态,有
上式可以写成如下的矩阵形式:
由此可以得到W在基矢|ψ1〉、|ψ2〉下的矩阵形式为
不过,各个W_{ij} (i,j=1,2)不是任意取值的。根据量子力学的基本原理,算符W应该是一个厄密算符,它满足
因此有
换言之W的矩阵表示中,两个对角元都是实数,而两个非对角元互为共轭复数。
得到W的矩阵形式之后,就容易写出H的矩阵形式了:
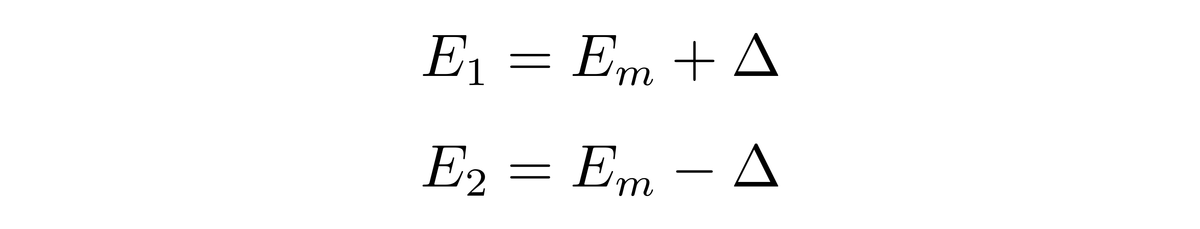
仿照H0时的处理方法,定义
那么H的矩阵形式可以改写为
将H表示成这样有什么好处呢?张朝阳提示网友们说,可以找到一组数(η,θ,ϕ)使得上式最右边的矩阵表示为
其中n表示(θ,ϕ)方向。上面两式表明,选取适当的方向n,二能级系统的哈密顿算符可以表示成恒等算符与σ_n的线性组合。于是,二能级系统的演化问题在除了一个总的能量偏移之外,可以等价成自旋系统在磁场中的演化问题。
由于后一个问题已经在上一次直播课中被解决了,那么一般的二能级系统的演化问题在原则上也已经被解决了。
根据上式矩阵的参数化,有
由此得到
开方并取正根,可得
在前述的矩阵参数化下,哈密顿算符被写为
根据上一次直播课的介绍,σ_n的+1本征值对应的本征态为
换到目前使用的基矢,可以得到哈密顿算符H的一个本征态为
它满足
因此,H的一个能量本征值为
同理,借助σ_n的-1本征值对应的本征态可以得到H的另一个本征态|ψ-〉,相应的本征值为
张朝阳强调说,从|ψ1〉、|ψ2〉出发得到|ψ+〉、|ψ-〉,本质上就是将H对角化了:
(张朝阳介绍一般的二能级系统的能量本征值求解方法)
据了解,《张朝阳的物理课》于每周周五、周日中午12时在搜狐视频直播,网友可以在搜狐视频“关注流”中搜索“张朝阳”,观看直播及往期完整视频回放;关注“张朝阳的物理课”账号,查看课程中的“知识点”短视频。此外,还可以在搜狐新闻APP的“搜狐科技”账号上,阅览每期物理课程的详细文章。

雷科技









































































